了解学校
校长致辞
学校简介
学校领导
组织机构
校史回眸
联系我们
星空娱乐游戏官网网址
央音要闻
校园资讯
星空彩票全站版下载
星空电竞注册送38
专题目录
教育教学
教学机构
师资队伍
管理部门
课程设置
在线教育
学术研究
学术委员会
学术机构
学术新闻
演出与活动
教学楼
歌剧音乐厅
王府音乐厅
琴房楼
附中音乐厅
校外演出
校友
星空电竞在线直播平台
本科招生
硕士研究生
博士研究生
学历教育(非脱产)
附中附小
就业信息
留学生
服务与资源
信息公开
图书馆
考级委员会
现代远程音乐教育学院
继续教育学院
央音视频
央音文创
星空彩票ios版中心版出版社
北京环球音像出版社
友情链接
校园生活
校历
学生活动
校园风景
央音标识
邮箱登录
央音门户
EN
EN
邮箱登录
央音门户
了解学校
校长致辞
学校简介
学校领导
组织机构
校史回眸
联系我们
星空娱乐游戏官网网址
央音要闻
校园资讯
星空彩票全站版下载
星空电竞注册送38
专题目录
教育教学
教学机构
师资队伍
管理部门
课程设置
在线教育
学术研究
学术委员会
学术机构
学术新闻
演出与活动
教学楼
歌剧音乐厅
王府音乐厅
琴房楼
附中音乐厅
校外演出
校友
星空电竞在线直播平台
本科招生
硕士研究生
博士研究生
学历教育(非脱产)
附中附小
就业信息
留学生
服务与资源
信息公开
图书馆
考级委员会
现代远程音乐教育学院
继续教育学院
央音视频
央音文创
星空彩票ios版中心版出版社
北京环球音像出版社
友情链接
校园生活
校历
学生活动
校园风景
央音标识
×
院长办公室
President's Office
首页
/
组织机构
/
党政管理机构
/
院长办公室
/
获奖信息
院长办公室
部门简介
科室设置
规章制度
信访之窗
获奖信息
部门简介
科室设置
文案科
法务科
督办科
综合科
大型活动科
社会服务科
规章制度
信访之窗
获奖信息
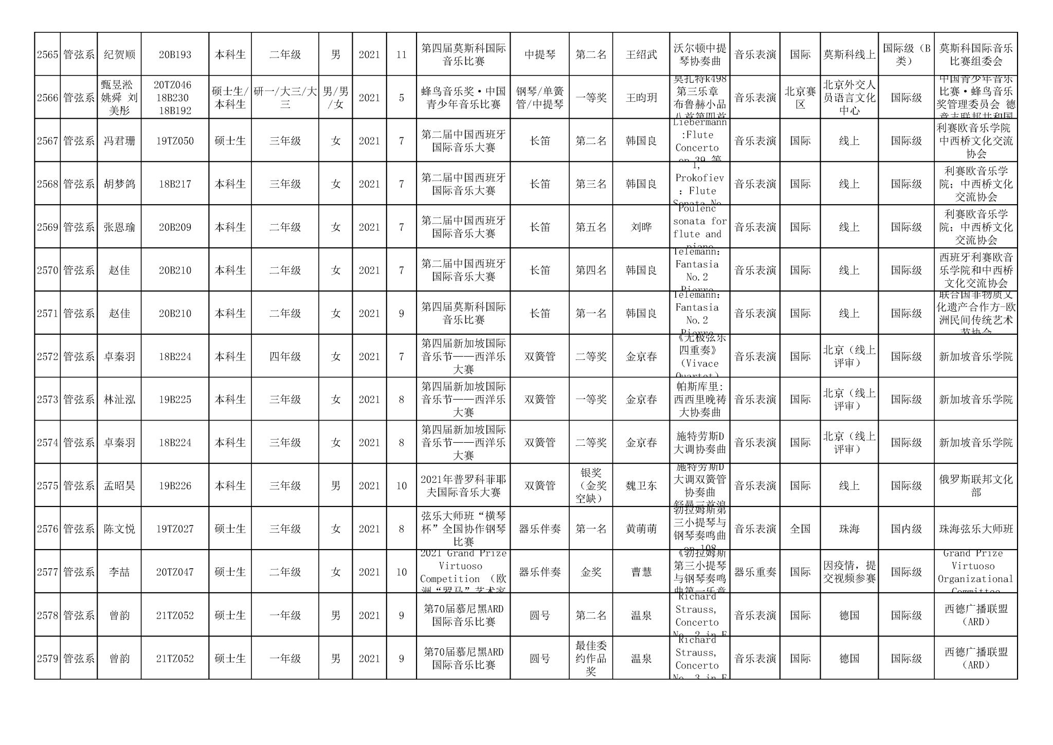
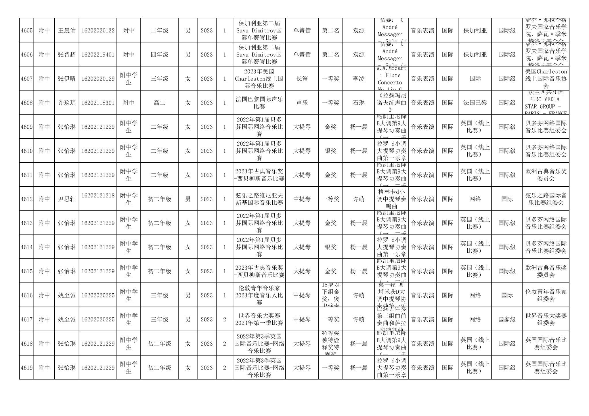
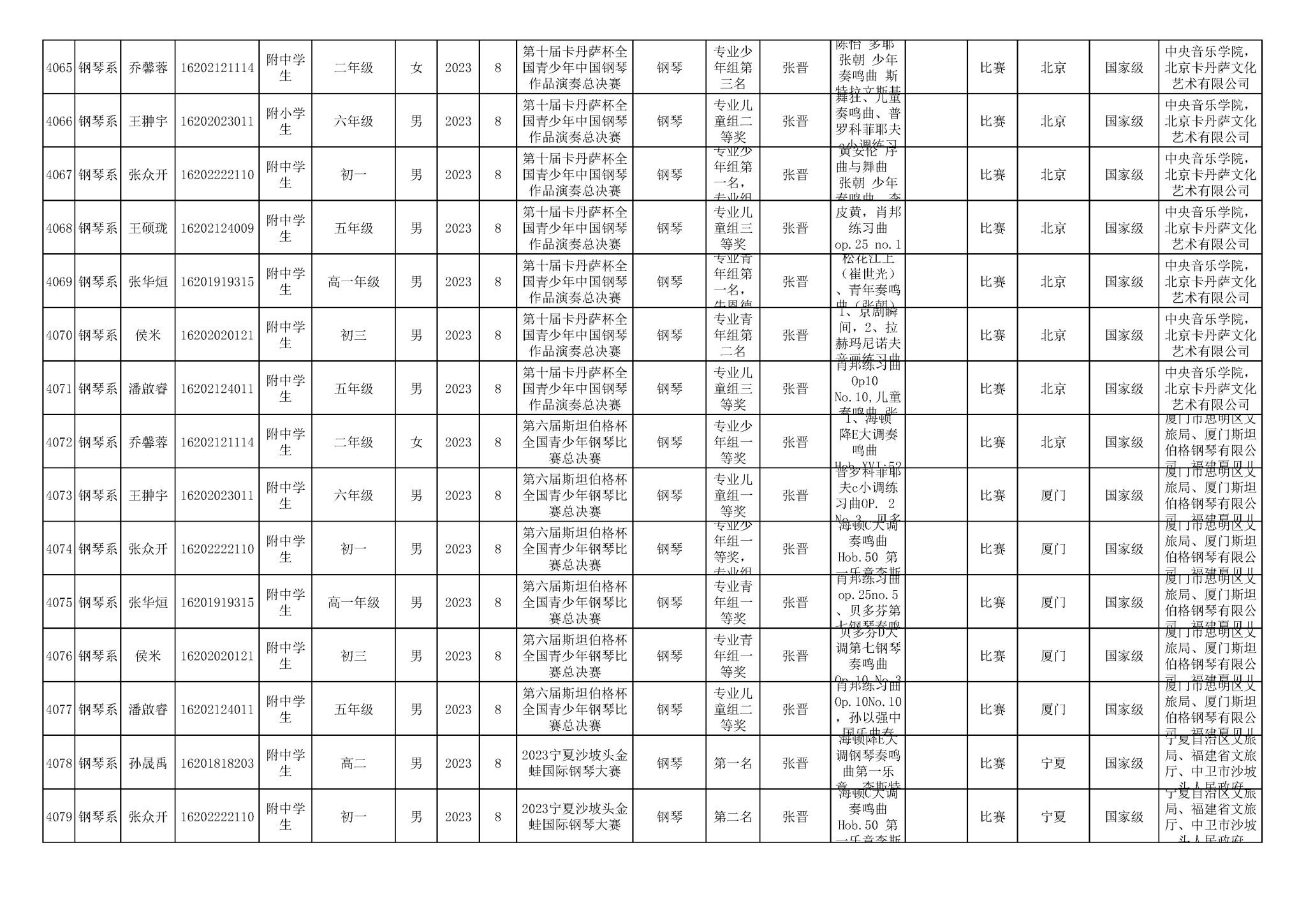
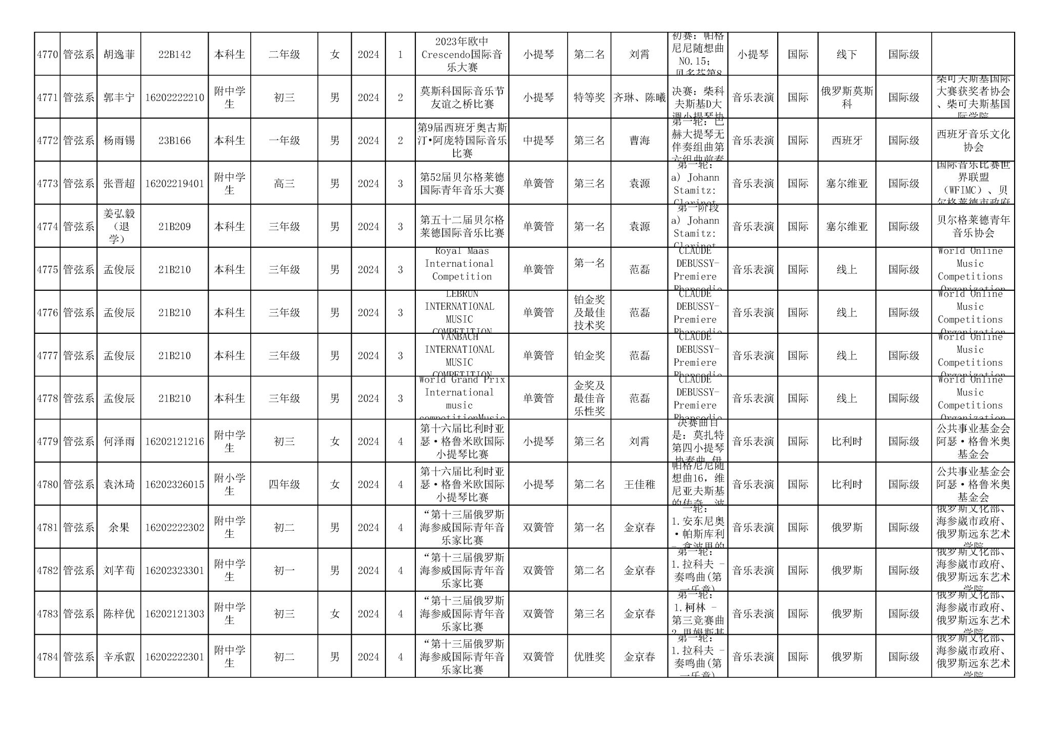
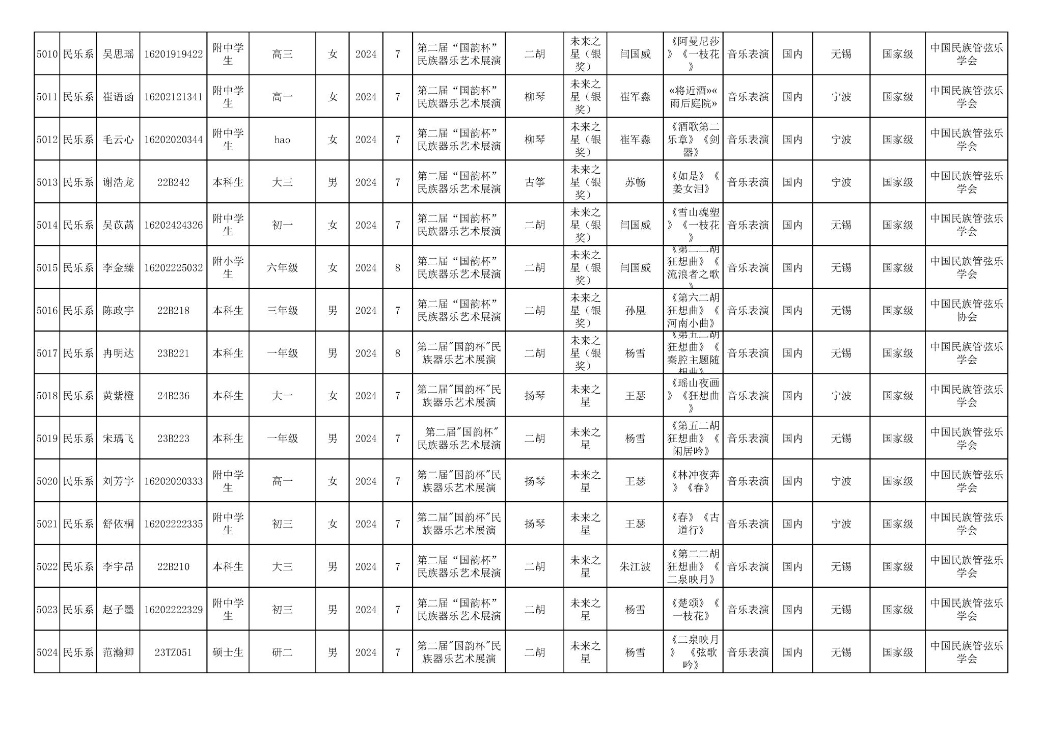
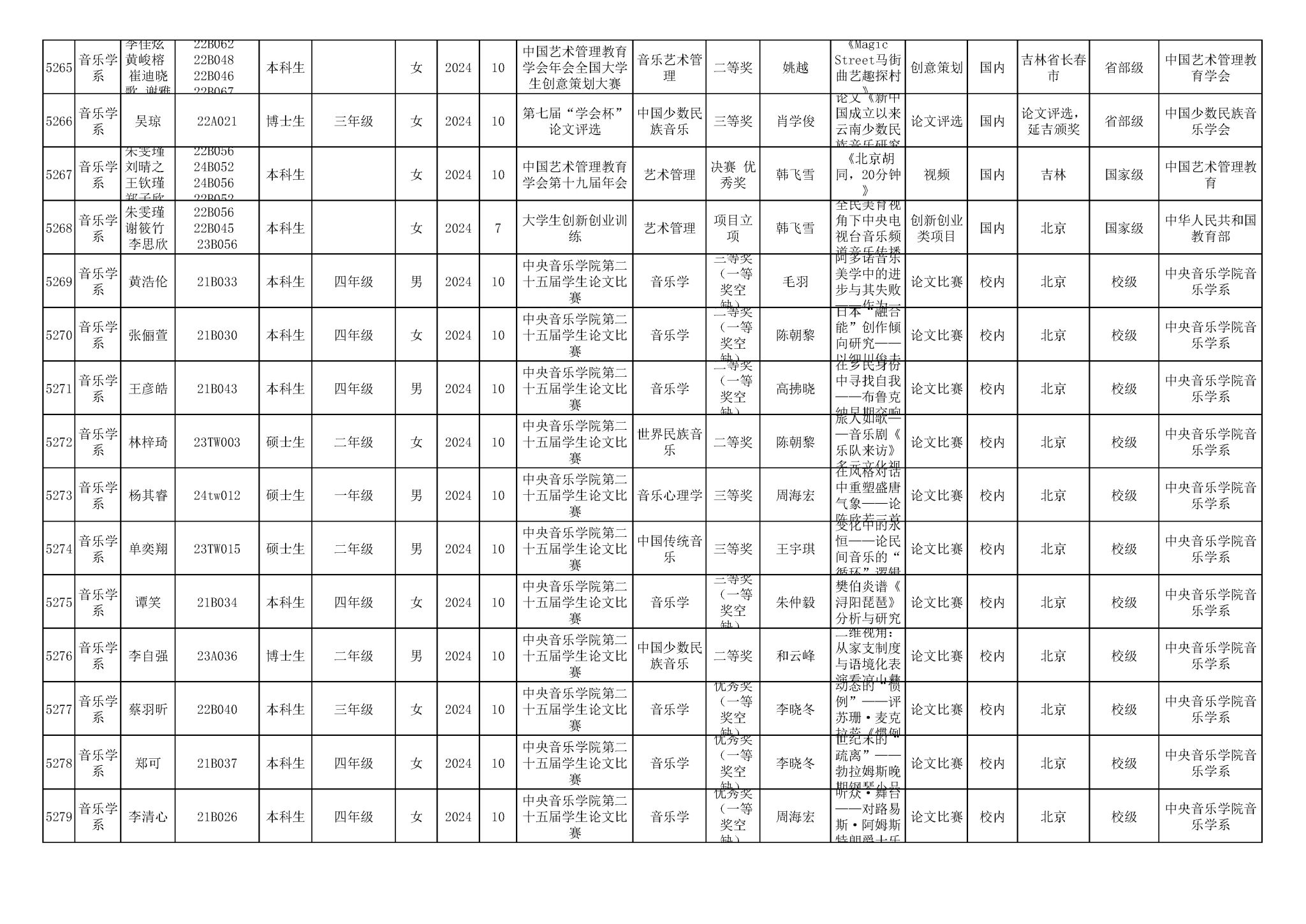
2016-2024年星空彩票ios版中心版(学生)获奖统计
信息来源:星空彩票ios版中心版院长办公室
发布日期:2025-02-19 17:17:46
更新日期:2025-02-19 17:43:20
下一条:2016-2024年星空彩票ios版中心版(教师)获奖统计
返回列表
map